donde: ayb son constantes. Así, la ecuación de flujo fraccional queda como sigue:
y, por lo tanto:
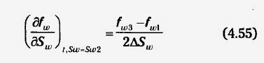
Tales expresiones u otras similares pueden ser útiles para el cálculo de la derivada por medio de computadores. En el caso de que no sea posible obtener expresiones analíticas para k0 /kw, pueden utilizarse procedimientos numéricos. Así, por ejemplo, si en la Figura 4.28 se aplica la aproximación central para la deriva- da primera en el cálculo de (dfw ldSu>)ISw2, se tiene:
Es posible usar aun aproximaciones más exactas, tales como las fórmulas de 4,5 y 6 puntos para la derivada primera y puntos igualmente espaciados.
![]() |
Figura 4.28. Cálculo numérico de la derivada de flujo fraccional en
función
de saturación (según Ferrer). |





No hay comentarios:
Publicar un comentario